2023
Abstract
In the context of rapidly developing technologies and widespread online access, it is important to understand how our perception of images on a computer screen may vary from traditional in-person encounters. This research compared the perception of subjects in view of eight paintings, presented either on a computer monitor or as a printed reproduction. Both stationary and mobile eye-tracking technologies were used to analyze viewing patterns of both forms of engagement. Results suggested that subjects engaging with physical works tended to exhibit more varied fixational patterns than those viewing the same works on a computer monitor. Data showed parity in the high degree of correlation between viewing times and personal preference, regardless of viewing medium. The results indicate that the modalities through which we engage with works of art matter, and that a single image can resonate across an array of media.
Contents published as "Comparing the perception of in-person and digital monitor viewing of paintings," in Empirical Studies of the Arts (SAGE), 2023. https://doi.org/10.1177/02762374231158520
Subject viewing stimulus in Gallery Group.
Subject viewing stimulus in Gallery Group.
Comparison of cumulative eye-tracking data. Monitor Group (above) and Gallery Group (below).
Implementation of Delaunay Triangulation to compare distribution patterns of gaze data. Detail visualization. Monitor Group (left) and Gallery Group (right).
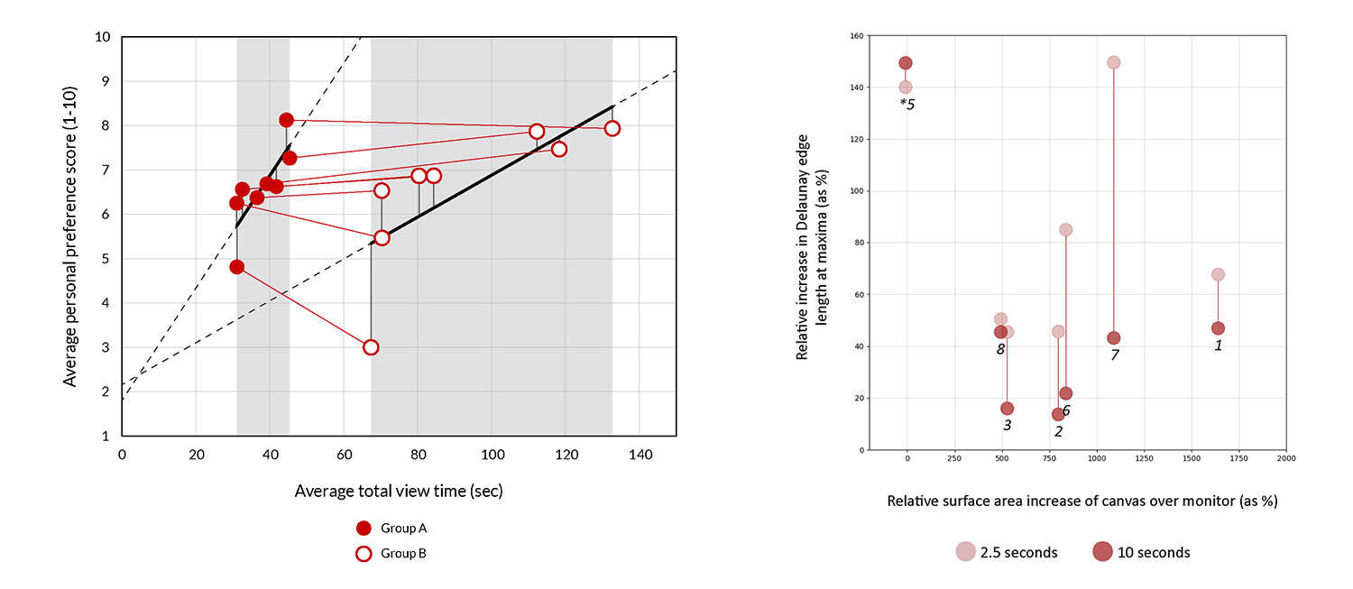
(Left) Comparison of viewing time versus image preference between subject groups, showing strong correlation across groups.
(Right) Correlation between surface area of viewed work (Gallery Group) and general distribution pattern of fixations.